
MIL-DTL-62069G(AT)
basic control unit housing, the operation of replacing the lamp shall not expose the switch
contact or any other moving internal parts of the control unit to the entry of foreign matter, and
the unit shall maintain the waterproofness requirement after lamp replacement.
3.3.5 Hazard warning switch. The control unit shall have a hazard warning switch in a
location such that accidental operation shall be prevented. The hazard warning switching device
shall disengage when the signal control lever is actuated.
3.4 Electrical.
3.4.1 Voltage rating. Control and flasher units shall be suitable for use in nominal
24 volt direct current (dc) electrical systems (see 4.4.3.2.1).
3.4.2 Current rating. Except as otherwise indicated, current carrying parts shall be able
to withstand a continuous dc current of 10 amperes without damage (see 4.4.3.2.1).
3.4.3 Load impedance. The flasher unit shall be operable with an inductive load of
0.20 millihenries placed in series with the lamp load (see 4.4.3.2.1).
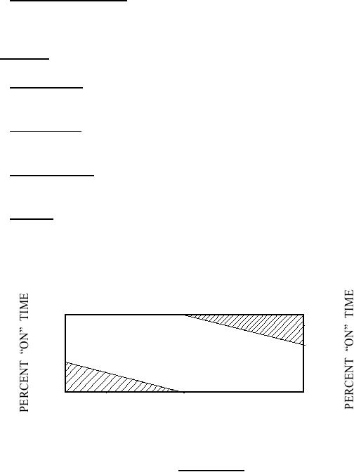
3.4.4 Flashing. The "flashing rate" and the "percent on time" of normally closed type
flashers shall be within the unshaded area of the polygon in figure 1.
60
90
120
75
75
60
40
30
30
90
60
120
FLASHING RATE (FLASHES PER MINUTE)
Figure 1. Flashing rate.
"Flashing rate" and "percent on time" shall be measured after the flasher has been operating for
five consecutive cycles and shall be an average of at least three consecutive cycles. The
"flashing rate", as defined in 6.4.4, shall be not less than 60 and not more than 120 flashes per
minute. The average "percent on time", as defined in 6.4.5, shall be as indicated in the polygon
above. When the control lever or hazard warning switch is returned to neutral position, the "turn
off time", as defined in 6.4.7, shall be less than 1.0 second (see 4.4.3.1).
5
For Parts Inquires call Parts Hangar, Inc (727) 493-0744
© Copyright 2015 Integrated Publishing, Inc.
A Service Disabled Veteran Owned Small Business